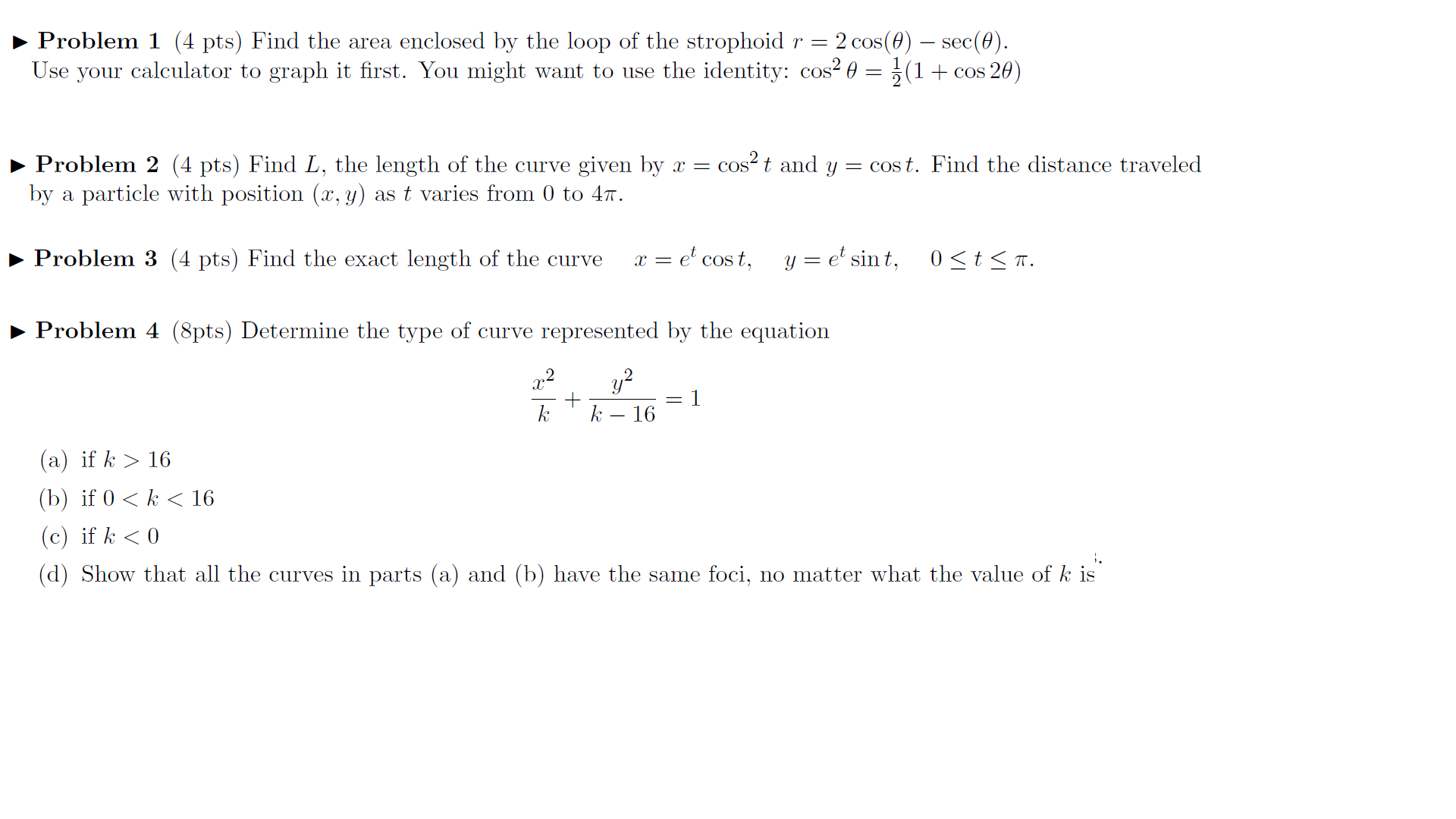
Find the Area Enclosed by the Loop of the Strophoid
Solved Find The Area Enclosed By The Loop Of The Strophoid R Chegg Com
Find The Area Of The Region Enclosed By One Loop Of The Polar Curve R 2 Cos Theta Sec Theta Youtube
Solved Find The Area Enclosed By The Loop Of The Strophoid R Chegg Com
Find The Area Enclosed By The Loop Of The Strophoid R 2cossec
No comments for "Find the Area Enclosed by the Loop of the Strophoid"
Post a Comment